
高中物理篇72:天体运动知识点小结
1重力类
1) . 主要解决天体表面重力加速度问题
基本关系式:
例1、某星球质量是地球的1/5,半径为地球的1/4,则该星球的表面重力加速度与地球表面重力加速度的比值是多少?
设天体表面重力加速度为g,天体半径为R,则:
(
)
由此推得两个不同天体表面重力加速度的关系为:
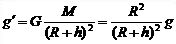
2).行星表面重力加速度、轨道重力加速度问题:
例2、设地球表面的重力加速度为g,物体在距地心4R(R是地 球半径)处,由于地球的引力作用而产生的重力加速度g, 则g’/g为
A、1; B、1/9; C、1/4; D、1/16。
表面重力加速度:
轨道重力加速度:
2天体运动类
行星(卫星)模型:
一、周期类:主要解决天体的质量(或密度)与同步卫星问题
基本关系式:
设恒星质量为M,行星质量为m(或行星质量为M,卫星质量为m),它们之间的间距为r,行星绕恒星(或卫星绕行星)的线速度、角速度、周期分别为v 、ω、T.
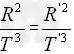
可以推得开普勒第三定律:(常量)
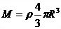
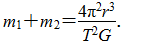
1).天体质量(或密度)问题
当r=R时,则天体密度简化为:
R、T分别代表天体的半径和表面环绕周期,由上式可以看出,天体密度只与表面环绕周期有关。
①对人造地球卫星而言,轨道半径越大,离地面越高,周期越 大。
②近地卫星的轨道半径r可以近似地认为等于地球半径R ,又 因为地面 所以有
它是绕地球做匀速圆周运动的人造卫星的最小周期。
二、同步卫星问题
所谓地球同步卫星,是指卫星环绕地球运转与地球自转同步即“对地静止”(又叫静止轨道卫星)的一种特殊卫星。
1.同步卫星的轨道与线速度.
①同步卫星一定在赤道正上方
论述要点:同步卫星要想“对地静止”其圆轨道必须与地轴垂直,又因每种卫星轨道必过地心。这就决定了同步卫星一定在赤道正上方
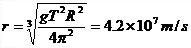
②同步卫星离地高度
证明要点:
h=r-R=3.56×107m(约为三万六千千米)
③运行速率
v=2πr/T=3.1km/s
2.飞船(卫星)的发射与回收(此类型要涉及开普勒三定律)
例3.飞船沿半径为r的圆周绕地球运动,其周期为T,如图所示如果飞船要返回地面,可在轨道上的某点A将速度降低到适当的数值,从而使飞船沿着地心为焦点的椭圆轨道运行,椭圆与地球表面在B点相切,(地球半径为R)
求:飞船由A 点到B 点所需的时间。
解:开普勒定律虽是对太阳行星系统而言的,但该定律也适合于地球卫星 系统,飞船返回时是以地心为焦点的椭圆轨道运行,那么应用开普勒第三定 律可求返回时间.飞船返回时间为椭圆运行周期T′的一半,而椭圆的长半轴为
1/2 (R+R0)
由开普勒第三定律可得
所以
3线速度类、主要解决宇宙问题
基本关系式:
由此可得:
1、第一宇宙速度(近地卫星运行速度)
推导过程:令上式中r=R,得,将g=9.8m/s2 、R= 6.4 ×106m代入得:v1=7.9×103m/s=7.9km/s.
这就是人造地球卫星在地面附近绕地球做匀速圆周运动时必须具有的速度,也是卫星绕地球做匀速圆周运动的的最大线速度。
2、第二宇宙速度(bye earth speed)
V2=11.2km/s.
3、第三宇宙速度(bye sun speed)
v3=16.7km/s.
4双星问题
双星模型:
天文学家将相距较近、仅在彼此的引力作用下运行的两颗恒星称为双星.双星系统在银河系中很普遍.
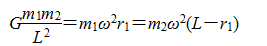
例3.已知某双星系统中两颗恒星围绕它们连线上的某一固定点分别做匀速圆周运动,周期均为T,两颗恒星之间的距离为r,试推算这个双星系统的总质量.(引力常量为G)
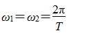
【解析】设两颗恒星的质量分别为m1、m2,做圆周运动的半径分别为r1、r2,角速度分别为ω1、ω2.根据万有引力定律和牛顿定律,有:
联立解得:
根据角速度与周期的关系知
联立解得
复习回顾:
71:追及和相遇问题知识点解析
70:自由落体运动知识点讲解
69:弹力知识点解析
68:物体共点力平衡知识点解析
67:重力初步讲解
更多物理往期内容可在对话框回复“物理”查看
年轻的我们
唯一要做的
就是向上生长