+-

音频播放地址:
视频播放地址:
跨越时空,跨越一切障碍,爱我们的主耶稣降世为人,体贴我们一切软弱,在十架上为我们舍命,好教我们的生命能焕然一新。让我们与主爱中相遇,毫无保留,将全心献给祂!
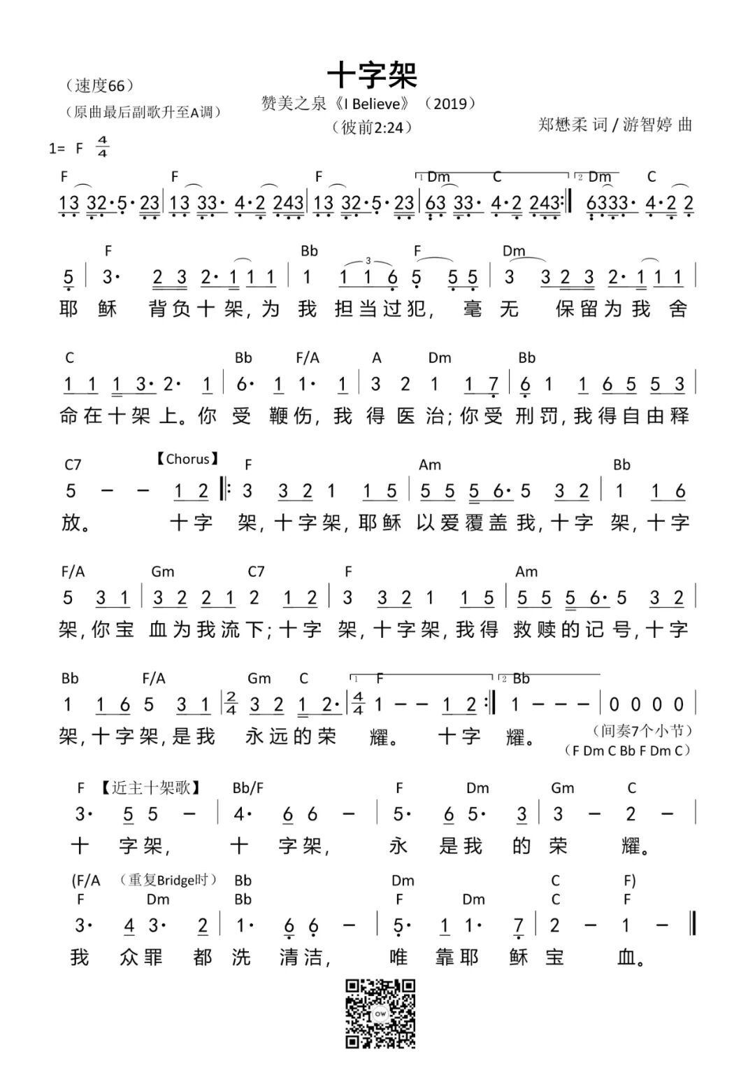
1· 在这里 神的子民 合一聚集 热切期盼遇见祢 天要敞开 神的道传遍 因为我们渴慕寻求祢 在这里 在这里 耶稣祢现在在这里 我相信 我相信 喜乐的江河在这里 荣耀彰显 奇妙神迹将显明 天上国度降临在这里 神的子民 合一聚集 热切期盼遇见祢 天要敞开 神的道传遍 因为我们渴慕寻求祢 在这里 在这里 耶稣祢现在在这里 我相信 我相信 喜乐的江河在这里 荣耀彰显 奇妙神迹将显明 天上国度降临在这里 祢的灵在这里 这里就有自由 圣灵自由运行无止尽 移山倒海信心 坚定不断升起 期待伟大神做奇妙事 在这里 在这里 耶稣祢现在在这里 我相信 我相信 喜乐的江河在这里 荣耀彰显 奇妙神迹将显明 天上国度降临在这里 荣耀彰显 奇妙神迹将显明 天上国度降临在这里 2· 十字架 词:郑懋柔 Tiffany M. Cheng 曲:游智婷 Sandy Yu [Verse] 耶稣背负十架 为我担当过犯 毫无保留为我舍命在十架上 祢受鞭伤 我得医治 祢受刑罚 我得自由释放 [Chorus] 十字架 十字架 耶稣以爱覆盖我 十字架 十字架 祢宝血为我流下 十字架 十字架 我得救赎的记号 十字架 十字架 是我永远的荣耀 [十架为我荣耀] 十字架 十字架 永是我的荣耀 我众罪都洗清洁 唯靠耶稣宝血 3· 爱中相遇 每一天 渴望与你在爱中相遇 再一次 将自己完全的献给你 唯有你 是我的喜乐和力量 我甘愿舍弃一切跟随你 每一天 渴望与你在爱中相遇 再一次 降服在你大能荣耀里 唯有你 是我的良人和恩友 我愿意一生敬拜荣耀你 — 副歌 — 将我全人献上当作活祭 以清洁的心单单事奉你 愿你旨意成全在我的生命里 求圣灵更新 掌管我一生 洁净我 吸引我 快跑跟随你 在爱中遇见你 洁净我 吸引我 快跑跟随你 荣耀中敬拜你 4·我在这里敬拜 我在这里敬拜 我在这里献上我的爱 全心全意 全然爱祢 祢是那爱我的天父 我在这里敬拜 我在这里献上我的爱 祢的恩惠 祢的慈爱 一生一世追随着我 献上我心 献上敬拜 献上我的一切 我的意念 祢是阿爸父 献上敬拜 献上我最深的爱 天地都要过去 祢爱不变 不曾放弃我 我爱祢 我爱祢 躺卧青草地上 安歇水边 享受祢同在 我爱祢 我爱祢 使我灵魂苏醒 安慰我心 恩膏我生命
歌谱: